https://www.acmicpc.net/problem/15990
15990번: 1, 2, 3 더하기 5
각 테스트 케이스마다, n을 1, 2, 3의 합으로 나타내는 방법의 수를 1,000,000,009로 나눈 나머지를 출력한다.
www.acmicpc.net
◎문제풀이
기저조건( +1, +2, +3)이 주어지고 목표(정수 n)의 구하는 경우의 수를 구하는 문제이므로 DP이다.

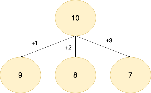
n이 10이라고 가정하고 +1,+2,+3으로 10을 만드는 방법의 수를 d[10]이라고 해보자. 이때 사건은 총 3가지이다.
첫번째 사건 : +1로 끝나는 경우 = d[9]
두번째 사건 : +2로 끝나는 경우 = d[8]
세번째 사건 : +3으로 끝나는 경우 = d[7]
세 가지 사건은 독립사건이다. 그러므로 점화식은 아래와 같다.
d[10] = d[9] + d[8] + d[7]
그런데 조건이 하나 있다. 같은 수를 두 번이상 연속해서 사용하면 안된다.
d[9]에서 +1로 끝나는 경우의 수를 제외해야 한다.
d[8]에서 +2로 끝나는 경우의 수를 제외해야 한다.
d[7]에서 +3으로 끝나는 경우의 수를 제외해야 한다.
이는 이차원 자료구조로 쉽게 구현이 가능하다.
d[1] 은 +1 하나이다. d[1]은 [1.0.0]이다.
d[2] 는 +2 하나이다. d[2]는 [0.1.0]이다.
d[3]은 1+2, 2+1, +3이다. +1, +2,+3로 끝나는 경우의 수가 모두 하나씩 있으니 [1,1,1]이다.
인덱스 0 : +1로 끝나는 경우의 수
인덱스 1 : +2로 끝나는 경우의 수
인덱스 2 : +3으로 끝나는 경우의 수
이렇게 인덱스 별로 경우를 나누어 놓으면 경우의 수 계산이 쉬워진다. 예를들어,
6 = d[3] + 3
6을 만드는데 +3이 쓰였으므로 d[3]에서 +3의 경우는 제외해야 한다.
+3이 다음의 d[3]의 값 = d[3][0] + d[3][1]
◎코드
#BOJ15990 1,2,3 더하기 5
import sys
input = sys.stdin.readline
t = int(input())
d = [ [0,0,0] for _ in range(100001) ]
d[1] = [1,0,0]
d[2] = [0,1,0]
d[3] = [1,1,1]
#BOTTOM-UP
for i in range(4,100001) :
d[i][0] = (d[i-1][1] + d[i-1][2])%1000000009
d[i][1] = (d[i-2][0] + d[i-2][2])%1000000009
d[i][2] = (d[i-3][0] + d[i-3][1])%1000000009
for _ in range(t) :
n = int(input())
print(sum(d[n])%1000000009)
테스트케이스마다 결과를 구해야 하므로 n의 최대값인 100,000까지 모두 연산해놓아도 된다. 시간제한이 1초이므로 for문으로 100,000은 충분히 가능하다.
'문제풀이' 카테고리의 다른 글
| [PS] BOJ10844 쉬운 계단 수 ( DP ) With 파이썬, JAVA (0) | 2023.06.28 |
|---|---|
| [PS] BOJ145000 테트로미노 ( BackTracking ) With 파이썬 (0) | 2023.06.27 |
| [CodingTest] BOJ1107 리모컨 ( 브루트포스 ) With 파이썬 (0) | 2023.06.20 |
| [CodingTest] BOJ1931 회의실 배정 ( greedy ) With 파이썬 (1) | 2023.06.19 |
| [CodingTest] BOJ111724 연결요소 ( DFS, UNION-FIND ) With 파이썬 (0) | 2023.06.19 |