반응형
https://www.acmicpc.net/problem/10844
10844번: 쉬운 계단 수
첫째 줄에 정답을 1,000,000,000으로 나눈 나머지를 출력한다.
www.acmicpc.net
◎문제풀이
DP문제를 풀 때, 이차원 리스트를 발상이 어려워 문제풀이가 쉽지 않았다. 각 자리에는 0-9의 수가 들어갈 수 있다. ( 첫번째 자리에는 0이 들어갈 수 없다. )

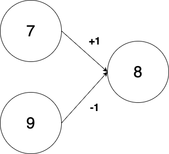
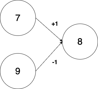
8은 두 가지 경우로 생성된다.
1) 7에서 +1 한 경우
2) 9에서 -1 한 경우
두 경우는 독립사건으로 경우의수는 합으로 구한다.
d[8] = d[7] +d[9]
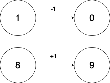
1-8까지는 이와 동일하지만 0과 9는 다르다.

0과 9는 한 가지 경우에서 나온다.
d[9] = d[8]
d[0] = d[1]
여기서 이전 자리와 현재 자리를 구분해야 하므로 이차원배열을 사용한다.
d[n][8] = d[n-1][7] + d[n-1][9]
d[n][9] = d[n-1][8]
d[n][0] = d[n-1][1]
◎코드
파이썬
#BOJ10844 쉬운 계단 수
n = int(input())
d = [[0]*10 for _ in range(n+1) ]
d[1] = [0,1,1,1,1,1,1,1,1,1]
for i in range(2,n+1) :
for j in range(10) :
if j == 0 : d[i][j] = d[i-1][j+1] # 0인 경우
elif j == 9 : d[i][j] = d[i-1][j-1] #9인 경우
else : d[i][j] = d[i-1][j-1] + d[i-1][j+1] # 1-8인 경우
print(sum(d[n])%1000000000)
자바
import java.io.*;
public class Main{
public static final int PIVOT = 1000000000;
public static void main(String[] args) throws IOException {
BufferedReader br = new BufferedReader(new InputStreamReader(System.in));
int n = Integer.parseInt(br.readLine());
long[][] dp = new long[n+1][10];
for(int i=1;i<=9;i++){
dp[1][i] = 1;
}
for(int i=2;i<=n;i++){
for(int j=0;j<=9;j++){
if(j-1 >= 0) dp[i][j-1] = (dp[i][j-1] + dp[i-1][j])%PIVOT;
if(j+1 <= 9) dp[i][j+1] = (dp[i][j+1] + dp[i-1][j])%PIVOT;
}
}
long ans = 0;
for(int i=0;i<=9;i++){
ans += dp[n][i];
}
System.out.println(ans%PIVOT);
}
}반응형
'문제풀이' 카테고리의 다른 글
| [PS] BOJ6064 카잉달력 ( math, bruteforce ) With 파이썬 (0) | 2023.06.29 |
|---|---|
| [PS] BOJ1080 행렬 ( greedy ) With 파이썬 (0) | 2023.06.29 |
| [PS] BOJ145000 테트로미노 ( BackTracking ) With 파이썬 (0) | 2023.06.27 |
| [PS] BOJ159990 1,2,3 더하기 5 ( DP ) With 파이썬 (0) | 2023.06.27 |
| [CodingTest] BOJ1107 리모컨 ( 브루트포스 ) With 파이썬 (0) | 2023.06.20 |